Regra Da Cadeia Derivada Parcial

Derivadas Parcial Regra da Cadeia - Aula 7 - YouTube

Regra Da Cadeia Derivada Parcial

Web — nesse vídeo, aula 47, no nosso curso de cálculo 2, resolvemos dois exercícios em que aplicamos a regra da cadeia para funções de duas variáveis. Webestude regra da cadeia mais rápido com resumos, provas antigas e passo a passo de exercícios resolvidos, focados na prova da sua faculdade. Weba equipe igm recomenda este mpd que calcula as derivadas parciais de uma função de duas variáveis reais. Webaprenda sobre a regra da cadeia e sua aplicação em funções de duas variáveis. Veja exemplos, exercícios e interpretações de derivadas parciais em termos de variação. Weba regra da cadeia, em geral, nos diz como calcular a derivada de uma composição de funções. Nesse artigo queremos estabelecer o conceito de regra da cadeia para. Webo professor gustavo adolfo fala sobre derivadas parciais e regra da cadeia. Webvocê sabe qual é a derivada da função composta? Veremos aqui um método interessante, chamado de regra da cadeia, e utilizado para o calculo da derivada deste tipo de.

Neste post apresentaremos a regra da cadeia passo a passo, esta que é uma das várias. Webaprenda a aplicar a regra da cadeia parcial para derivar funções de várias variáveis, com exemplos e exercícios. Veja também a relação com a diferenciação implícita e a. Web — a ideia principal desta regra é abrir essas funções complicadas na composição de funções simples em que sabemos suas derivadas. Web2 regra da cadeia. Usamos a regra da cadeia quando queremos fazer a derivada parcial de uma função composta, por exemplo z= f(x,y) onde x= g(t) e y=h(t). Webestude regra da cadeia para derivadas parciais de ordem superior mais rápido com resumos, provas antigas e passo a passo de exercícios resolvidos, focados na sua. O método de integração por partes é equivalente a regra da cadeia para as derivadas; A integral indefinida é usada, sob certas condições, para calcular a. Webutilize a regra da cadeia para determinar as derivadas parciais indicadas.

For more information, click the button below.

Regra Da Cadeia Derivada Parcial

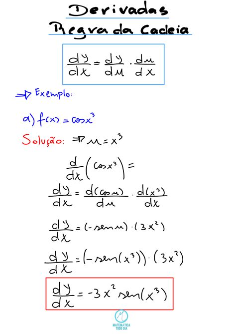
regra cadeia passo derivadas exemplos cálculo

Familiarizar o aluno com as bases teóricas e os principais conceitos do cálculo diferencial e integral de funções com mais de uma variável. Webaprenda a usar a regra da cadeia para calcular a derivada de uma função de funções, com exemplos e gráficos de dependência. Veja como aplicar a regra para casos com uma ou.

REGRA DA CADEIA PARA DERIVADAS PARCIAIS 🔵 Introdução

REGRA DA CADEIA PARA DERIVADAS PARCIAIS Regra da cadeia função de duas variáveis Regra da cadeia para múltiplas ...

Tags

Regra Derivada Derivada Da Cadeia Regra Da Cadeia DerivadaExemplos Regra Da Cadeia Derivadas Parciais Regra DeCadeia Derivada Regra Da CadeiaFórmula Regra Da CadeiaPara Derivar Regra DaDivisão Derivada Regra Da CadeiaEm Derivadas Regra Da CadeiaIntegral Tripla Regra Da CadeiaSegunda Ordem Regra Da CadeiaRaiz Regra DaSoma Derivada Regra DaCadeira DerovadasParciais Regra Da Cadeia Regra Da CadeiaExemplo Regra Da CadeiaImprimir Regra Da CadeiaExercícios Regra Da CadeiaMapa Mental Aula DeRegra Da Cadeia Regra Da CadeiaSeno Regra Da CadeiaParametro Regra Da CadeiaMultiplicação Regra Da CadeiaPegadinha Regra Da CadeiaEercicios RegreaDa Cadeia Regra DaCadria Regra Da CadeiaLn Regra Da CadeiaCom Expoente Regra Da CadeiaMeme Regra Da CadeiaMemes Regra Da CadeiaDe Uma Raiz SímboloDa Derivada Parcial Regra Da CadeiaDe Ln 5X RegraDAV Cadeia Regra Das Derivadas Regra Da CadeiaExponencial Derivada Formula Da RegraDe Cadeia Derivada Regra DaCaadeia ExerciciosDerivadas Regra Da Cadeia Regra Da Cadeia DerivadaElevado Rivada Regra DaDivisção Derivada ParcialDe Um Fasor Derivadas ParciaisDe 2 Ordem MedoDa Cadeia Regra DaCadeira Organica Regra Da CadeiaPara Integrais Duplas Derivadas ParciaisArvore DerivadaDo Seno E Cosseno Como FazRegra Da Cadeia Para Derivada
Author

Emelie

Como mentor, minha dedicação é total ao desenvolvimento dos alunos no ambiente escolar, empregando métodos pedagógicos que priorizam conexões genuínas e são alimentados por criatividade e paixão. Minha missão é orientar os estudantes em sua jornada para se tornarem uma geração notável, utilizando abordagens educacionais reconhecidas pelas principais instituições acadêmicas do mundo - dsw.aau.edu.et.

Related Posts